
El comportamiento del mercado laboral en los últimos 18 meses ha sido muy bueno. Probablemente esto no es suficiente, porque con casi cinco millones y medio de parados según la última EPA, queda mucho por hacer. Pero hay motivos para ser optimistas. Como reflejan los datos de paro registrado de enero conocidos este martes, los datos empiezan a ser equiparables a los de los buenos años. Así, tras la campaña de navidad, el desempleo creció en 77.980 personas, la menor subida en enero desde 2007.
Sin embargo, escondidas entre las buenas cifras generales, siguen quedando otras muy preocupantes. Son los agujeros negros del mercado laboral español. Son datos que no mejoran o lo hacen a cuentagotas. Categorías de parados que no consiguen subirse al tren de la recuperación. Ratios que se mantienen por los suelos. Como apuntamos anteriormente, la mejoría general es obvia; ahora el reto es que llegue a todos, que no se quede nadie por el camino.
¿Sin futuro?
Los primeros que preocupan son los jóvenes. Al fin y al cabo, si España va a tener una recuperación a medio plazo, será a través de los trabajadores que ahora tienen menos de 30 años. Ellos son los que tendrán que pagar las pensiones en 2030, los que deberán subir la productividad, los que tendrán que crear las nuevas empresas que compitan dentro de una década, etc...
La tasa de paro entre los 16 y los 24 años es superior al 50%. Ésta es la cifra que siempre se da. Pero los malos datos van más allá. No es sólo que más de la mitad de los jóvenes activos (que buscan un empleo) no lo encuentren. Es que, además, muchos directamente ni lo intentan y están saliendo del mercado (o incluso del país).
Según los datos de los Servicios Públicos de Empleo, a finales de enero había 384.932 parados registrados menores de 25 años, lo que supone una caída del 10,29% en el último año. Comparados con los 508.879 que había en marzo de 2012, parece una mejora evidente. El problema es que también ha caído mucho el número de activos. Así, en diciembre de 2007, antes de que estallase la crisis, había más de 2.400.000 activos menores de 25 años. Según la última EPA, la cifra ha caído hasta los 1.570.000.
Y aunque es cierto que el número de activos ha descendido en casi todos los grupos de edad, lo ha hecho con más fuerza entre los jóvenes. Los dos siguientes mapas son muy significativos. Están sacados del Observatorio Laboral de Fedea. Muestran el porcentaje de ocupados que tienen menos de 25 años. Son demoledores. En 2007, este grupo suponía aproximadamente el 10% de la fuerza laboral, con regiones por encima de esa cifra; en este momento, no hay ninguna que supere el 6% y hay varias comunidades incluso por debajo del 3%. Los jóvenes "desaparecen de la población ocupada", según los autores de este estudio.
El problema es que esta dinámica es complicada de cambiar. Como explicábamos hace unos días, los jóvenes españoles están entre los europeos que menos experiencia acumulan antes de los 30 años. Y eso luego se paga en el largo plazo: en menor productividad, en sueldos más bajos, en menos empleo estable... La pregunta ahora es por qué tantos veinteañeros han abandonado la población activa. La respuesta optimista apunta a que han vuelto a las aulas o se han quedado en ellas, formándose y esperando a que escampe el temporal. Los que prefieran ser pesimistas pensarán que han sido presa del desánimo (han salido del mercado laboral) o que, incluso, se han marchado del país.
¿Sin esperanza?
El segundo dato preocupante que nos deja el paro de enero tiene que ver con el desempleo de larga duración. Como en el caso de los jóvenes, los parados que llevan más de un año en esa situación están teniendo muchas dificultades para subirse de nuevo al tren.
Según la EPA de diciembre, 2,75 millones de desempleados perdieron su trabajo hace más de doce meses. Son más de la mitad de los 5,4 millones de parados que registra la Encuesta de Población Activa (ya sabemos que sus datos son diferentes a los de los Servicios Públicos de Empleo). Sin contar a los que buscan su primer empleo, son 6 de cada diez parados.
Es una cifra muy elevada y no es fácil de cambiar. Porque el factor que más dificulta la búsqueda de un empleo es, precisamente, la duración del paro. Así, según explica Fedea:
"La duración del desempleo sigue siendo el factor clave que dicta la facilidad o dificultad de acceso a un empleo. La probabilidad de acceso al empleo decrece de modo muy sustancial a medida que la duración del desempleo se incrementa. En este trimestre se observa que los desempleados que llevan parados menos de 3 meses presentan una probabilidad de salida del desempleo que es más de 4 veces mayor que la de un desempleado de similares características que lleva más de un año parado. (…) Sin duda la duración del desempleo es el factor que en mayor medida determina la facilidad de salida hacia un empleo"
Es un círculo vicioso de complicada solución. Pero además, tiene otras implicaciones muy relevantes. Para empezar, estos parados tienen muy pocas opciones de mantener sus prestaciones. Eso se ve en la cifra de personas que cobran el subsidio de desempleo: "Los beneficiarios existentes a final del mes fueron 2.417.742 con un descenso respecto al mismo mes del año anterior del 11,9%. La cobertura del sistema de protección por desempleo durante el mes de diciembre de 2014 ha sido de 57,6%, el mismo indicador en diciembre de 2013 fue de 61,4%, lo que supone una disminución del 6,2%". Hay menos porcentaje de parados que reciban estas ayudas. Sí, quizás cobren las nuevas ayudas de 400 euros o las rentas de inserción, siempre mucho más bajas que las prestaciones del paro.
Pero además, es que a medio plazo estar desempleado es muy peligroso. Se pierden habilidades, contactos, conocimiento del sector,... Recuperar luego no sólo un empleo sino la situación laboral (sueldo y posición jerárquica). Es decir, que ese año y medio en paro luego se arrastra el resto de la vida profesional.
¿Sin estabilidad?
Tampoco es esperanzador el tipo de empleo que se está creando. Hay una buena noticia y es que los contratos indefinidos están creciendo más que los temporales. Pero siguen estando por debajo del 10% del total. Y si miramos a estos contratos fijos, hay que tener en cuenta que cada vez más lo son a tiempo parcial. En 2007, sólo 10% de cada 100 trabajadores lo eran a tiempo parcial. Al cierre de 2014, eran 16 de cada 100, y subiendo.
De nuevo, aquí nos encontramos con una peculiaridad del mercado laboral español. Para empezar, la tasa de temporalidad es la más elevada de la UE tras la de Polonia. Incluso tras siete años de crisis en los que la destrucción de empleo se ha centrado en este tipo de trabajadores, sigue rondando el 25%. Y a esto se le suma el nuevo fenómeno del empleo a tiempo parcial, que ya hemos visto que se ha disparado en los últimos años. Esto no tiene por qué ser malo en sí mismo. Hay países de la UE con cifras mucho más altas que las españolas (Holanda es el mejor ejemplo). La diferencia es que allí esta situación es casi siempre voluntaria (el trabajador quiere media jornada por motivos personales, de estudios, etc...) mientras que en España es porque no encuentran el empleo de ocho horas que están buscando.
La consecuencia es que tenemos once millones de trabajadores precarios. Y la mayoría tiene un contrato (temporal o a tiempo parcial) que no es el que les gustaría (fijo a jornada completa). También esta situación tiene un reflejo en los datos de empleo que hemos conocido este martes. Así, de los 1.247.556 contratos firmados, sólo 120.239 son fijos. Y de estos, más de 38.000 son a tiempo parcial. Como apuntamos anteriormente, mejoramos algo (poco) en temporalidad a cambio de mucho más empleo a tiempo parcial. Evidentemente, esto también tiene consecuencias tanto en términos de productividad como de competitividad de una economía. Aquí la madre del cordero está en la normativa y en como ésta empuja hacia la dualidad del mercado. La reforma laboral atacó otros de nuestros males, pero prácticamente no hizo nada en esta cuestión.
¿Sin recambio?
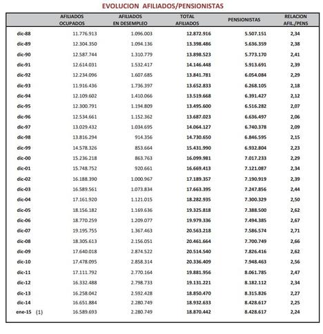
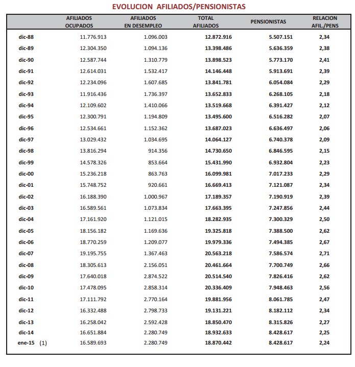
Quizás el más preocupante, al menos a medio plazo, sea el último de los cuatro agujeros negros. Es el que tiene que ver con el recambio en nuestro mercado laboral. Es decir, aquellos que ocupan el lugar de los que se jubilan. Según las cifras que de afiliación de la Seguridad Social, incluso con la notable mejoría que se ha producido en el último año, sigue cayendo la ratio de ocupados / pensionistas. O lo que es lo mismo, como puede verse en la siguiente tabla, aunque sube el número de trabajadores, este incremento no es suficiente, porque la tendencia por el otro lado de la ecuación también es creciente.
De esta manera, la ratio es de apenas 2,25 afiliados por pensionistas, una cifra medio punto inferior a la que disfrutábamos hace seis años. Esto quiere decir que la creciente carga del pago de las prestaciones de jubilación cae sobre las espaldas de un número de trabajadores que no sube tan rápido como debería. Por eso, no es extraño que la hucha de las pensiones haya perdido 12.000 millones de euros en 2014. Ya sólo le quedan unos 41.000 millones. O lo que es lo mismo, a este ritmo, en tres años y medio estará vacía.
El Gobierno espera que la recuperación del mercado laboral ayude a cubrir este déficit. Pero cuidado, ya hemos visto cómo en 2014, incluso aunque ha subido el número de afiliados en 400.000 personas (una cifra muy buena), ha caído la ratio en relación a los pensionistas. Y otro apunte: el gasto en pensiones sube cada año no sólo por la revalorización de éstas, sino porque las nuevas prestaciones son más altas que las antiguas. Es decir, los nuevos jubilados de 65 años tienen derecho a una paga mensual mucho más elevada que las personas que fallecen. Por lo tanto, no es sólo que haya más pensionistas. Es que, además, cobran más que los antiguos. Para enfrentarse a esta realidad la recuperación del mercado laboral tendrá que ser muy potente. Mucho empleo nuevo y bien pagado (bien cotizado): si queremos acabar con los números rojos de la Seguridad Social, no hay otra alternativa.

