Los doce sabios ya han emitido su dictamen. El grupo de expertos presidido por Víctor Pérez Díaz ha entregado este viernes por la tarde a la ministra de Empleo, Fátima Báñez, su informe sobre el factor de sostenibilidad del sistema público de pensiones. Hay que recordar que es sólo una mera recomendación. Ahora, el Gobierno lo enviará al Pacto de Toledo y a los agentes sociales. Y será el Parlamento el que tenga la última palabra. Eso sí, parece que existe voluntad política para comenzar a andar en la dirección apuntada por este grupo.
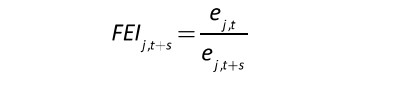
Sus principales novedades ya se conocían, a través de las filtraciones de los últimos días: el Factor de Equidad Intergeneracional de las nuevas pensiones (FEI) y el Factor de Revalorización Anual sobre la pensión media real (FRA). Son dos fórmulas que servirán para calcular las pensiones futuras. El primero afectará sólo a los nuevos pensionistas. Podríamos decir que se utilizará para determinar la prestación de jubilación en el momento de dejar de trabajar.
Mientras, el FRA afectará a todos los pensionistas. Ésta sería la fórmula que sustituirá al IPC. Hasta ahora, salvo excepciones, las pensiones se revalorizaban año a año de acuerdo a la inflación, con el objetivo de que no perdieran poder adquisitivo. A partir de este momento (si el Gobierno sigue la recomendación del comité), ya no será así. Las prestaciones se ajustarán en función del FRA. ¿Y esto será bueno o malo para los pensionistas? Pues depende de la capacidad de la economía española para crecer y, de esta manera, crear más empleo y de más calidad. Si lo consigue, subirán las cotizaciones y el FRA podría ser incluso superior al IPC. De hecho, en la rueda de prensa posterior a la presentación, los autores se han mostrado convencidos de que la pensión media podría subir en términos reales si logramos crecer con fuerza a medio plazo.
La segunda pregunta es cuándo entrarían en vigor estas medidas. Pues bien, los expertos piden que sea cuanto antes, especialmente en lo que tiene que ver con el FRA, que aconsejan que se ponga en marcha en 2014. En lo que hace referencia al FEI, ofrecen más margen, puesto que hablan de una horquilla entre 2014 y 2019, "si bien existen razones de peso para que se haga lo antes posible".
Ahora, el informe de los expertos se trasladará ahora al Pacto de Toledo para su debate y posterior tramitación parlamentaria como proyecto de Ley.
El FRA
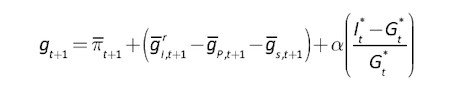
Como decíamos, los expertos piden que las pensiones definitivamente dejen de revalorizarse anualmente de acuerdo con el IPC, como ha sucedido en los últimos años, y que lo hagan en función de los ingresos y gastos del sistema. Todos ellos
han coincidido, especialmente el profesor Rafael Domenech, en que esto no quiere decir que vayan a sufrir una caída constate de poder adquisitivo.
De hecho, si la economía española consigue crecer con fuerza la idea es que este indicador crezca por encima del índice de precios. Eso sí, en momentos de crisis prolongadas y caídas en la recaudación, podría darse la situación contraria, con lo que eso implica de pérdida de poder adquisitivo.
La fórmula parece un poco rara, pero en realidad simplemente es la suma de tres elementos:
- el primero es la tasa media de inflación (el IPC de los años que se tomen como referencia)
- el segundo sumando es un componente que mide cuánto crecen los ingresos en relación a las nuevas obligaciones del sistema. Cada año sube la factura en pensiones (nuevas entradas, de jubilados que tienen derecho a una prestación más elevada). A medio plazo, también deberían subir los ingresos (por el incremento de la productividad. Pues bien, eso influirá en el cálculo de las pensiones, para hacer más sostenible el sistema.
- el tercero es el superávir o déficit del sistema a lo largo del ciclo (los expertos creen que si se calcula bien debería ser igual a cero y no influir en el cálculo).
La idea es utilizar el FRA como ahora se usa el IPC. En diciembre, se calcularía y los pensionistas sabrían cuánto van a cobrar el año siguiente. En principio, en los años buenos (con incremento de la actividad), la subida de las cotizaciones debería llevarles a un incremento en su prestación. Y al revés en los malos, con un tope: la pensión no podrá bajar nominalmente. Es decir, como mucho se congelarían, pero nunca caerían.
El FEI
La propuesta de los expertos se complementa con el factor de equidad intergeneracional. Esta fórmula sólo afectará a las nuevas pensiones. Desde que se comience a aplicar, el montante de la prestación dependerá de la esperanza de vida en el momento de la jubilación. De esta manera, se busca equiparar las cantidades a percibir para todos los pensionistas.
Según los expertos, este factor no tiene por qué conllevar una disminución de la cuantía de la pensiones en términos reales y, en todo caso, se plantea la posibilidad de incorporar una cláusula suelo que impida su disminución nominal. Eso sí, de acuerdo a este factor, el incremento en la esperanza de vida supondrá que se cobrará menos mes a mes (para así mantener los ingresos desde el momento de la jubilación hasta la muerte).

