
En los últimos días, Libre Mercado ha presentado distintos documentos que arrojan luz sobre la presunta trama de corrupción que habría desarrollado el PSOE valenciano a través de la agencia de comunicación CRESPO GOMAR SL. Este periódico se ha hecho eco de un informe en el que la UDEF presenta pruebas de lo que podría ser una red de facturas falsas orientada a apuntalar la financiación de las campañas socialistas desarrolladas en localidades como Valencia y Benidorm.
Pero la investigación no termina aquí. Los agentes policiales también apuntan a una trama de financiación irregular que salpicaría a Bloc-Compromís, la matriz de la coalición de Mónica Oltra y Joan Baldoví que concurre a las elecciones generales en alianza con Unidos Podemos.
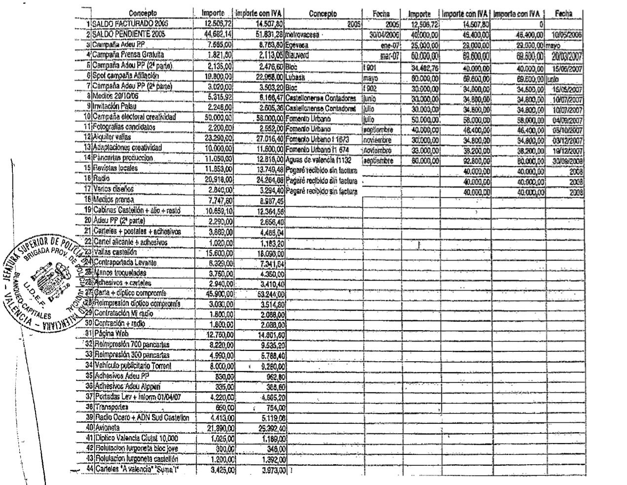
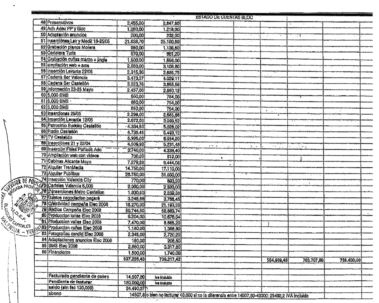
Tras repasar la contabilidad de CRESPO GOMAR, la policía concluyó que "la presunta financiación irregular no solo podría haberse producido en el Partido Socialista, sino que también puede deducirse un funcionamiento similar entre la empresa y el partido político BLOC-COMPROMÍS". El siguiente cuadro recoge la contabilidad de distintos gastos de campaña reconocidos por dicha formación:


Para la UDEF, "de la documentación aportada se puede inferir que todos estos servicios habrían sido prestados por la empresa CRESPO GOMAR SL, la cual no los habría facturado directamente al partido político, sino desglosando diferentes cuantías y facturas a nombre de diferentes empresas, con la presunta connivencia de todas las partes".
En el caso de Bloc-Compromís, los gastos "habrían sido facturados presuntamente por CRESPO GOMAR SL a las empresas Metrovacesa, Egevasa, Lubasa y Construcciones Blau Verd". Cabe destacar que esta última firma aparece también en la presunta trama de financiación irregular de la agrupación del PSOE en Valencia capital, en dicho caso con facturas valoradas en 540.000 euros. Para los agentes policiales, los recibos remitidos por la agencia de comunicación y marketing a estas mercantiles "enmascaran un trabajo que, o bien no ha existido, o bien se ha inflado en su importe".
"Anótalo en la hoja del Bloc"
Un ejemplo de los vínculos entre las partes implicadas lo tenemos en el hilo de correos electrónicos que, a lo largo del mes de abril de 2006, tramitó una factura que fue remitida a Metrovacesa, pero quedó "anotada en la hoja del Bloc". De hecho, en el correo incautado por la policía se habla de la importancia de remitir la factura en cuestión a Lluis Miguel, a quien los agentes identifican "con toda probabilidad" como Lluis Miquel Campos Sanchís, secretario de comunicación y acción electoral de Bloc-Compromís.


